一個小改變,讓A醇保養品功效發揮更持久有效... @MSMF 知識PART
A醇(Retinol, 視黃醇)被認為是最有效抗老成分之一,但是通常使用A醇保養品一段時間後,會發現其:對皮膚老化的改善效果陷入「高原期(變得遲緩、停滯)」──研究:簡單調整保養程序,可最佳化A醇保養品的改善率,並長期有效...

A醇(Retinol, 視黃醇)是維生素A的一種形式──對於皮膚而言:當其被皮膚吸收後,經轉化成A酸(Retinoic acid, 視黃酸)會激活皮膚細胞分化的基因表達,從源頭刺激皮膚組織新陳代謝發生,加速老化角質更新,膠原蛋白補充、健全皮膚組織結構......等,進而改善皮膚皺紋、鬆弛無彈性、或色斑......等老化跡象,重返年輕狀態。
A醇(Retinol, 視黃醇)是護膚品中的"明星級"抗老成分。
.
但是在實務上發現:長期使用「單一活性成分(如A醇)」,其改善效果會逐漸下降、趨於平緩,步入一近乎停滯的「高原期」──該保養品的效果,於使用一段時間(e.g.幾個月)後就不再有效展現,無法持續令皮膚狀態顯著轉好。
但是在實務上發現:長期使用「單一活性成分(如A醇)」,其改善效果會逐漸下降、趨於平緩,步入一近乎停滯的「高原期」──該保養品的效果,於使用一段時間(e.g.幾個月)後就不再有效展現,無法持續令皮膚狀態顯著轉好。
雅芳(Avon)研究:A醇(Retinol, 視黃醇)對皺紋&色斑等老化徵狀的改善率→隨使用時間增長,而逐漸下降──保養效果趨緩,步入「高原期」停滯。
![]() |
| 視黃醇對皺紋和色素沉著的改善率,隨著研究的進行,而逐漸下降。(引用自→此文獻 Fig 1.) 如何使A醇(Retinol, 視黃醇)保養作用最佳化&持久有效發揮? |
雅芳(Avon)研究:旋轉式保養方案──對抗老化,更持久有效...
根據Lisa DiNatale等人的臨床研究《Novel Rotational Combination Regimen of Skin Topicals Improves Facial Photoaging: Efficacy Demonstrated in Double-Blinded Clinical Trials and Laboratory Validation》報告表示:
研究人員選用了:作用機制與A醇有互補性的有效成分「乙醇酸(glycolic acid,加速去角質)」加「植醇(phytol,健全屏障功能&保濕)」組合(另參→Placebo controlled clinical evaluation of a topical moisturizer formula containing phytol)──來作為與「A醇保養品」旋轉式保養(輪換使用)的測試配方,進行臨床研究比較:
- 單獨使用「0.1%視黃醇配方」
- vs.單獨使用「1%植醇+4%乙醇酸配方」(代號 PGA)
- vs. 每週輪換「1%植醇+4%乙醇酸配方 & 0.1%視黃醇配方」(代號 Rotation)
經皮膚採樣組織學檢查,發現:3者均能刺激「表皮厚度↑、玻尿酸含量↑、膠原蛋白 I 和 III型含量↑」,顯示改善皮膚屏障功能更健全,保濕力與彈性(緊緻度)提升──其中在「玻尿酸和原膠原蛋白 I 型表現」方面, 輪換保養方案者更具顯著優勢。
![]() |
| 旋轉式保養(輪換使用方案)對促進玻尿酸生成,比單獨應用者(0.1%視黃醇 或 PGA)效果更高。(引用自→此文獻 Fig 8.) |
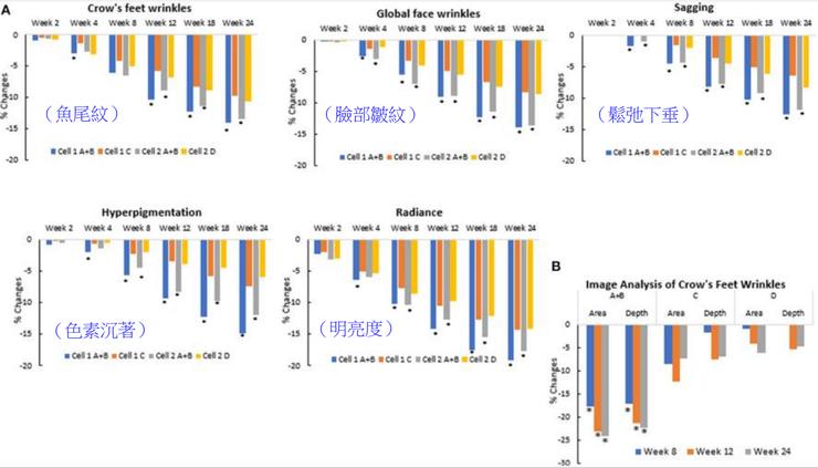
研究(2):116名35-72 歲健康女性受試者,隨機/雙盲/半臉對照-為期 12 個月實驗:
發現:旋轉式保養(輪換使用方案)的抗老效果在全年中持續進行──約 10-40% 的受試者於第 4 周就出現各種衰老指標(包含魚尾紋、臉部皺紋、色素沉著、膚色均勻度、亮度、皮膚緊緻度 & 鬆弛下垂程度)的顯著參數改善;其中高達 90-100% 的受試者,這樣的改善效率繼續保持至年底,到實驗時間結束時,仍顯示參數改善的正向趨勢。
研究(3):144名35-72 歲健康女性受試者,隨機/雙盲/半臉/市售商品對照-實驗 6個月後:
此研究中,受試者被隨機分為兩組:
輪換使用:含「A醇」配方、與含「植醇(phytol)+乙醇酸(glycolic acid)」配方──其抗老效果,比單獨應用每種活性成分,具有更好的療效。
發現:旋轉式保養(輪換使用方案)的抗老效果在全年中持續進行──約 10-40% 的受試者於第 4 周就出現各種衰老指標(包含魚尾紋、臉部皺紋、色素沉著、膚色均勻度、亮度、皮膚緊緻度 & 鬆弛下垂程度)的顯著參數改善;其中高達 90-100% 的受試者,這樣的改善效率繼續保持至年底,到實驗時間結束時,仍顯示參數改善的正向趨勢。
![]() |
| 旋轉式保養(輪換使用方案)對皮膚老化指標的改善,是漸進&持續一整年的。(引用自→此文獻 Fig 12. A) |
研究(3):144名35-72 歲健康女性受試者,隨機/雙盲/半臉/市售商品對照-實驗 6個月後:
此研究中,受試者被隨機分為兩組:
- 第 1 組在其面部一側使用旋轉產品 vs.另一側使用「僅含有視黃醇」的商業產品。
- 第 2 組在其面部一側使用旋轉產品 vs.另一側使用「含可促進膠原蛋白生成的抗氧化劑和胜肽」之商業產品。
![]() |
| 旋轉式保養(輪換使用方案)抗老效果,表現優於市售商品。(引用自→此文獻 Fig 14) |
研究結論:
輪換使用:含「A醇」配方、與含「植醇(phytol)+乙醇酸(glycolic acid)」配方──其抗老效果,比單獨應用每種活性成分,具有更好的療效。顯然:搭配不同活性成分的「旋轉式保養」輪換使用方案──所能獲得的護膚效益,會優於單一活性成分的使用,尤其拉長時間來看!
MSMF觀點:
首先須提醒的是:此研究的金主,就是雅芳(Avon)本身──加上其早在幾年前就有推出類似概念的商品(參報導)──所以對「旋轉式保養」的實際效益,大家可參考斟酌。不過旋轉式保養──輪換使用不同護膚活性配方──對消費者是個不錯的選項,基本都能輕鬆簡單達成,沒有額外特殊的要求限制。只需確認輪替的保養成分,能符合自身膚況需要。




留言
張貼留言